Konference: 2007 XIV. Jihočeské onkologické dny
Kategorie: Maligní lymfomy a leukémie
Téma: Diagnostika a léčba maligních lymfomů
Číslo abstraktu: 021
Autoři: MUDr. Miluše Dolečková, Ph.D.; Ing. Alena Chourová (Studynková); MUDr. Jana Kutová; Mgr. Petr Malecha; L. Valachová
TSEI (total skin electron irradiation) se již řadu desetiletí používá k léčbě mycosis fungoides a jiných kožních T-cell lymfomů s cílem zlepšit klinické výsledky především optimalizací dávkové distribuce v kůži.
Existuje řada modifikací této techniky (statické, rotační) a také různá frakcionační schémata. Ideální trvání TSEI je mezi 6-10 týdny.Doporučená dávka minimálně 30 Gy (většinou 31-36 Gy), nejlepší výsledky jsou při dávce 40 Gy. Vzhledem k anatomii lidského těla jsou některé oblasti poddávkované. Typickým příkladem jsou plosky nohou, temeno, dále je to oblast perineální a horní vnitřní plochy stehen, u žen submammární, v závislosti na ozařovací technice oblast axillární a laterální strany krku. Monitorování dávky s TLD (termoluminiscenční dozimetry) anebo filmovými dozimetry na těle pacienta, především na místech s pravděpodobným poddávkováním, pomůže určit dávku pro „patch treatments“ - dosycení dávky v poddávkovaných oblastech. Zlepší tak progression-free survival o 10-20%. „Boost treatments“ urychluje hojení tumorosních ulcerací při jednorázovém ozáření (4-6 Gy, na čtvercové pole 5-30 cm) před zahájením TSEI, může být proveden i frakcionovaným režimem po ukončení TSEI. Zlepšuje kontrolu onemocnění.
Metoda a pacienti
Na onkologickém oddělení Nemocnice Č.Budějovice
a.s. bylo v letech 1993-2007 léčeno celkem 36 pacientů technikou
TSEI, kteří dokončili léčbu.
Charakteristika souboru pacientů
Soubor: 36 pacientů
žen - 10
mužů - 26
průměrný věk - 62 let (40-85 let)
mycosis fungoides - 35
T-cell lymfom - 1
TNMB:
st. I - 5
st.II - 22
st.III - 6
st.IV - 3
předléčeno - 24 (chemoterapie, PUVA, Interferon, zevní
záření)
nepředléčeno - 12
Všichni pacienti byli ozářeni elektronovým
svazkem záření energie 6 MeV na kůži celého těla buď rotační (26
pacientů) nebo statickou (10 pacientů) technikou TSEI. Aplikovaná
dávka byla 30-40Gy (30Gy-10x, 32Gy-2x, 34Gy-2x, 36Gy-4x, 38Gy-2x,
40Gy-16x). Dosycení dávky v poddávkovaných oblastech - „patch
treatments“- bylo provedeno u všech pacientů, „boost treatments“
jen u pacientů s reziduálními tumory.
U pacientů, kde byla použita rotační technika,
byla maximální dávka na povrchu kůže, u statické techniky s
použitím plexi desky před tělem pacienta byla maximální dávka 9 mm
pod povrchem a na povrchu 88% dávky, bez plexi desky byla maximální
dávka ve 14 mm a na povrchu 77% dávky.
Graf č. 1: Procentuální hloubková distribuce dávky u
celotělového elektronového ozáření u statické a rotační ozařovací
techniky s a bez plexi desky (ONO Nemocnice Č. Budějovice
a.s.)

Výsledky
Soubor 36 nemocných, léčených na onkologickém
oddělení Nemocnice České Budějovice a.s. technikou TSEI od r.1993,
byl vyhodnocen v srpnu 2007.
Odpověď na léčbu byla ve 100% (n=36), kompletní
odpověď 95% (34/36), parciální odpověd 5% (2/36).
Žije 15 pacientů (42%), z toho 10 bez známek
onemocnění a 5 se známkami mycosis fungoides. Zemřelo 21 (58%)
pacientů a z nich 10 zemřelo na mycosis fungoides a 11 z jiné
příčiny (IM, CMP, cirhoza, úrazy, jiný nádor). Pět z nich zemřelo
se známkami mycosis fungoides a 6 pacientů bez nich.
Statisticky byl soubor vyhodnocen podle
Kaplana-Meiera. Celkové přežití - overall survival - (n=36) bez
ohledu na stádium onemocnění a příčinu smrti bylo ve 3 letech
68-72%, v 5 letech 52%, v 10 letech 11% (graf č. 2).
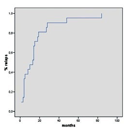
V celém souboru je bez relapsu 39% (15/36)
nemocných, relaps vznikl v 61% (21/36) (graf č. 3).
Onemocnění na kůži bylo potom menšího rozsahu
(většinou ve formě patch nebo plaků) a bylo léčeno různými způsoby
(lokálně kortikoidy, PUVA, chemoterapie, Intron A, retinoidy,
lokální ozáření, retreatment TSEI).
Přežití pacientů, kteří zemřeli na mycosis
fungoides bylo kratší, než u kterých byla příčina smrti jiná (graf
č. 4).
Přežití je závislé na rozsahu onemocnění, ve
sledovaném souboru převládalo st. II, nepokročilé onemocnění (st.I)
je porovnáno s pokročilým onemocněním (st. II-IV) (graf č.
5).
Celkový počet pacientů sledovaného souboru je
příliš malý, aby výsledky hodnocení byly statisticky významné.
Diskuze
1) Vliv celotělového ozáření na kvalitu života
TSEI má kurativní účinek u časného onemocnění
(st.I + IIA), u ostatních stádií mycosis fungoides má účinek
paliativní. I ten má pro pacienty velký význam, neboť dojde k
ústupu průritu, bolesti, sekrece či krvácení kožních lézí. Vzezření
pacientů často odpuzuje okolí a tento handikap je omezuje v
zaměstnání, koníčcích nebo i v běžných aktivitách.
Relaps onemocnění, který je u pokročilejších
stádií častý, přichází v menším rozsahu - léze s minimální
infiltrací, které dobře reagují na léčbu PUVA, lokální použití
kortikoidů, Interferonu A. TSEI významně zlepšilo kvalitu života
našich nemocných s mycosis fungoides. Ústup nepříjemných projevů
nemoci navodil somatickou i psychickou pohodu pacienta, i když u
některých nemocných byl časově limitován.
Graf č. 2: Celkové přežití souboru 36 pacientů s mycosis
fungoides, léčených TSEI (Kaplan-Meier), ONO Nemocnice Č.
Budějovice a.s.


Graf č. 3: Přežití u 21 pacientů s relapsem mycosis
fungoides, léčených TSEI (Kaplan-Meier), ONO Nemocnice Č.
Budějovice a.s.

Graf č. 4: Křivky přežití u 21 zemřelých pacientů (červená
barva - pacienti nezemřeli na mycosis fungoides, modrá barva -
pacienti zemřeli na mycosis fungoides) (Kaplan-Meier), ONO
Nemocnice Č.Budějovice a.s.


Graf č. 5: Přežití pacientů s mycosis fungoides, léčených
TSEI, v závislosti na stádiu onemocnění (Kaplan-Meier), ONO
Nemocnice Č. Budějovice


2) Odpověď na léčbu
Výhodou TSEI oproti jiným léčebným metodám je
nejvyšší odpověď na léčbu (90-100%), u některých dlouhodobé remise
a lepší přežití. V souboru našich nemocných byla hodnocena odpověď
na léčbu ve 100%, kompletní odpověď v 95%.To koreluje s všeobecně
udávanými výsledky kompletní odpovědi 52-92%.
V Hamiltonově centru (Kanada) podrobili analýze
technické faktory a zjistili, že zvýšení dávky ze 24 Gy na 36 Gy
zlepšuje remisi asi o 10%. Cox regresní analýzou relaps-free
survival u 230 pacientů, kteří vstoupili do remise demonstrovali,
že ani dávka ani energie záření nejsou spojeny s délkou remise.
Největší relaps-free survival byl spojen s T1 (P = 0,0001), s
nízkým N (P = 0,02) a u pacientů, kteří obdrželi TSEI jako primární
léčbu (P = 0,007).
G. W. Jones (Hamiltonovo centrum v Kanadě), R. T.
Hoppe (Stanfordská univerzita, Kalifornie) a E. Glatstein
(univerzita v Dallasu, Texas) zhodnotili publikované klinické
výsledky TSEI ze 45 center (kromě Hamiltonova centra a Stanfordské
univerzity), počty pacientů se pohybují od 14-66. Pouze 18 center
zajištuje interpretovatelná data s celkovým počtem 730 pacientů,
ale statistické údaje nejsou vždy relevantní. Devět
z uvedených 18 center hodnotí 5leté celkové přežití na méně
než 400 nemocných. Výsledky overall survival byly mezi 40-60%, ve
vztahu k TNM byly mezi 20-100%.
Největší centra pro léčbu TSEI, Hamiltonovo
centrum (n=320) a stanfordská skupina (n=241), vyhodnocovala své
výsledky samostatně. Kompletní remise podle TNM byla posouzena v
8-96% (Stanford) a ve 22-84% (Hamilton). Relaps-free survival v 5
letech byl presentován v 17% (Stanford) a ve 29% (Hamilton),
overall survival v 5 letech byl 61% (Stanford) a 69% (Hamilton),
cause-specific survival v 5 letech byl 73% (Stanford) a 82%
(Hamilton).
V souboru našich nemocných byla hodnocena odpověď
na léčbu ve 100%, kompletní odpověď v 95%. To koreluje s všeobecně
udávanými výsledky kompletní odpovědi 52-92%. Overall survival u
našeho malého souboru v 5 letech byl 52%, což je ve shodě s
publikovanými údaji uznávaných center 40-60%, 61% (Stanford) a 69%
(Hamilton). Tato srovnání výsledků statistického hodnocení souboru
36 nemocných s publikovanými výsledky jsou pouze orientační,
neboť mohou být zatížena chybou malých čísel.
3) Současná problematika:
Indikace TSEI:
- první léčebná metoda u indikovaných případů
st. IA - kromě minimálního postižení +T1N1 - dlouhý relaps free- survival
st. IB + T2N1- dlouhý relaps-free surfoval, při relapsu dobře odpovídá na mechlorethamin nebo PUVA
st. IIB - efektivní paliace, s následným zvážením další léčby
st. III - efektivní paliace, s následným zvážením další léčby
st. IVA - dobrá paliace, zvážit kombinaci s involved - node photon - radiation
st. IVB - dobrá paliace, zvážit kombinaci s jinou léčbou
- u relapsu po jiné léčbě
st. IA-IIA - dlouhý relaps free - survival
ostatní - zvažovat kombinaci s jinou léčbou
- retreatment TSEI (pouze při relapsu po jiné léčbě)
Jiné možnosti léčby:
- efektivní topická léčba (Mustargen, carmustine, kortikosteroidy, Targretin, psoralen plus ultravioleť A, ultravioleť B, TSEI
- efektivní systémová léčba (interferon, retinoidy, , bexarotene, denileukin diftitox, extrakorporální fotoferéza, chemoterapie, vysokodávkovaná chemoterapie s allogenní transplantací kostní dřeně.
Problematika retreatmentu TSE:
- kompletní TSEI
- neúplné TSEI (minimální aplikace 4-8 Gy v několika frakcích, uplatňující se za 3-18 měsíců, vede ke kontrole onemocnění s minimální toxicitou)
- dlouhé intervaly mezi aplikacemi TSEI - kůže je schopna tolerovat vysokou kumulativní dávku záření (i více jak 100 Gy).
Centralizace léčby:
Ze studií vyšlo evidentně najevo spojení mezi
technikou TSEI a úspěšností v léčbě mycosis fungoides. Na podkladě
tohoto zjištění the European Organization for Research and
Treatment of Cancer Cutaneous Lymphoma Project Group ve spojení s
experty z radioterapeutických center Severní Ameriky dosáhli
konsensu: akceptovat metody a klinické indikace pro TSEI v léčbě
mycosis fungoides.
Soustředění léčby do center
- zajištění podmínek (technických a personálních)
- větší počty pacientů, výsledky větší validity
- šance na zodpovězení řady otázek, na které není jednoznačná odpověď
- spolupráce mezi centry, možnost navázat spolupráci s ostatními centry programu TSEI.
Jaký je problém?
- časné diagnózy
- správné indikace k léčbě
- centralizace léčby
Závěr
Pacienti s časným onemocněním mycosis fungoides
budou profitovat z TSEI jako kurativní primární léčby. TSEI u
pokročilých onemocnění je velmi efektivní paliativní metoda a
zlepšuje kvalitu života těchto nemocných. TSEI je dobře tolerovaná
léčebná metoda.
Poděkování za spolupráci
MUDr. Dobiášové, MUDr. Hákové, MUDr. Horkelovi, MUDr. Jankovské,
MUDr. Junkovi, MUDr. Köllerovi, MUDr. Kubínové, MUDr. Linhartové,
MUDr. Mašátové, MUDr. Matyskové, MUDr. Obstové, MUDr. Svobodové,
MUDr. Vášové, MUDr. Velebovi, MUDr. Vepříkovi
Literatura:
- DOLEČKOVÁ, M., KRÁLOVÁ, D., VOJAN, F. Total skin electron
irradiation (TSEI) for mycosis fungoides: the problems of boost
therapy. Radiotherapy and Oncology, Elsevier, Belgium, 2002, vol.
64, supplement.1, s. 527, ISSN 0167-8140.
- DOLEČKOVÁ, M., et al. The advantage and the disadvantage of
total skin electron irradiation (TSEI) in patients with cutaneous
T-cell lymphoma. Radiotherapy and oncology, Elsevier, Belgium,
2001, vol. 58,
supplement 1, s. 106, ISSN 0167-8140. - DOLEČKOVÁ, M., et al. Problems of total skin electron
irradiation of skin T-cell lymphomas. Radiotherapy and Oncology,
Elsevier, Belgium, 1997, vol. 43, supplement 2, s. 784, ISSN
0167-8140.
- FREEMANN, C.R., et al. Clinical experience with a single field
rotational total skin electron irradiation technique for cutaneous
T-cell lymphoma. Radiotherapy and Oncology, Elsevier, Belgium,
1992, vol. 24,
no.3, s.155-162, ISSN 0167-8140. - HOPPE, R.T., FUKS, Z., BAGSHAW, A.M. Radiation therapy in the
management of cutaneous T-cell lymphoma. Cancer Treatment Reports,
USA, 1979, vol. 63, no. 4, s. 625-632.
- HOPPE, R.T., et al. Electron beam therapy for mycosis
fungoides: The Stanford University experience. Cancer treatment
Reports, California, USA, 1979, vol. 63, no.4,
s.691-700.
- CHAO, K.S., PEREZ, C.A., BRADY, L.W. Radiation Oncology
Management Decisions. Lippincott Raven, USA, 1999, s 742, ISBN
0-397-58468-7.
- JONES, G.W., et al. Combined treatment with oral etretinate and
electron beam therapy in patients with cutaneous T-cell lymphoma
(mycosis fungoides and Sézaryho syndrome). Journal of the American
Academy of Dermatology, Canada, 1992, vol. 26, s.
960-967.
- Jones G.W., Hoppe,R.T., Glatstein E. Electron beam treatment
for cutaneous T-cell lymphoma. Hematology/oncology clinics of North
America, USA, 1995, vol. 9, no. 5, s. 1057-1074.
- JONES, G.W.,et al. Prognosis with newly diagnosed mycosis
fungoides after total skin electron radiation of 30 or 35 Gy.
International Journal of Radiation Oncology Biology Physics,
Elsevier, USA, 1994, vol.28, no.4, s. 839-845, ISSN
0360-3016.
- JONES, G.W., ROSENTHAL, D., WILSON, L.D. Total skin electron
radiation for patients with erythrodermic cutaneous T-cell lymphoma
(mycosis fungoides and the Sezary syndrome). Cancer, USA, 1999,
vol.85, no.9, s. 1985-1995.
- JONES,G.W. et al. Total skin electron radiation in the
management of mycosis fungoides: concensus of The European
Organisation for Reseach and Treatment of Cancer (EORTC) Cutaneous
Lymphoma Project Group. J. Am. Acad. Dermatol, USA, 2002, 47, s.
364-370.
- KUTEN, A.,et al. Total skin electron irradiation (TSEI) in
mycosis fungoides (MF): comparison between a modified Christie
Hospital recumbent translation technique and the Stanford
technique. Radiotherapy and Oncology, Elsevier, Belgium, 2002, vol.
64, supplement 1, s. S171, ISSN 0167-8140.
- KUTEN, A.Q.,et al. Total-skin electron irradiation for cutaneous T-cell lymphoma: the Northern Israel Oncology Center experience. Strahlenther. Onkol., 1991, vol. 167, no. 7, s. 392-396.
Datum přednesení příspěvku: 13. 10. 2007
