Konference: 2010 XXXIV. Brněnské onkologické dny a XXIV. Konference pro sestry a laboranty
Kategorie: Ostatní
Téma: Postery
Číslo abstraktu: 202p
Autoři: MUDr. Oldřich Louthan (-2014)
Vlastními vyvolávajícími faktory jsou:
serotonin a jeho metabolity, bradykinin, histaminy, skupina
kallikreinů, katecholaminy a neuropeptidy A, K.
Předpoklady vzniku KK: Velké tumory,
metastazující tumory, plicní karcinoidy - zde i menší nádory.
Nejsou rizikové: Karcinoidy appendixu,
karcinoidy žaludku 1. a 2. typ, karcinoidy rektosigmoidea (dle
starší terminologie hindgut karcinoidy).

Provokující faktory
- Mechanická manipulace s nádorem: Biopsie, operační výkon, tlak UZ sondy, mamografu, transesofageální echokardiografie apod.
- Nemechanické vlivy:
- a) Léky: Úvod do anestézie, adrenergní agonisté (adrenalin,
noradrenalin, dobutamin, isoprenalin). Aplikace katecholaminů je
proto kontraindikována !!! Léky uvolňující histamin, inhibitory
monoaminooxidázy (naklobemid - Aurorix), někdy chemoterapie.
- b) Další vlivy: psychický stres, hyperkapnie, hypotermie, hypotenze či hypertenze, alkoholické nápoje.
Symptomatologie KK
a) Kardiologická: Hemodynamická nestabilita, vasodilatace s 00 TK, srdeční arytmie
b) Gastroenterologická: Profuzní průjmy - důležitý symptom, ale není vždy simultánní, s dehydratací, hypokalémií, meta-bolickou acidózou. Zvracení, bolesti břicha až charakteru náhlé břišní příhody.
c) Neurologická: stupor, zmatenost, koma, tonicko-klonické generalizované křeče.
d) Bronchopulmonální: Generalizovaný bronchospasmus.
e) Ostatní: Intenzívní flush, event. otok obličeje, lakrimace.
Laboratorní odchylky
Nezřídka dochází k protahovanému vzestupu hodnot serotoninu a jeho
metabolitů včetně 5-hydroxyindoloctové kyseliny (5-HIOK) v moči,
méně často k vzestupu sérového chromograninu A.

Diferenciální diagnóza stavů imitujících KK: Septické stavy
(septický šok, hypovolemický šok), náhlá příhoda břišní, status
asthmaticus, průjmy různého původu s hypovolémií.
Management KK: (a) prevence vzniku, (b) terapie KK. Léčba má
charakter intenzívní péče
Základní strategie léčby:
- intenzívní produkce a sekrece biologicky aktivních
substancí
- biologické odpovědi na nadprodukci biologicky aktivních
substancí
- Blokáda receptorů pro tyto substance
Preventivní aplikace
- Předléčení pacienta krátkodobými somatostatinovými analogy Sandostatinem (octreotid) v i.v. infuzi bez prostředně před rizikovým výkonem.
- Při případné volbě long-acting analoga (lanreotid nebo octreotid) nutno aplikovat 2 týdny před výkonem
Terapie
- Aplikace krátkodobého octreotidu 50-100 jxg v pomalém (několik minut trvajícím) bolusu sledovaném kontinuální i.v. infuzí v dávce 50-100 u,g/ hod. až 48 hodin
- Volumoresuscitace, monitorace centrálního žilního tlaku při závažné hypotenzi
- Korekce minerálů - hypokalémie
- Při bronchokonstrikci běžná bronchodilatancia, i.v. kortikoidy
- Terapie arytmií obvyklým způsobem
- Další možné pomocné léky: cyproheptadin (Peritol), apronitin (Trasylol), arginin vasopressin, ketanserin - blokuje účinek mediátorů.
- Absolutní kontraindikace podávání katecholaminů !!! - riziko paradoxního zhoršení hypotenze vlivem vyplavení biologicky aktivních substancí. Hypotenzi nutno řešit energickou dehydratací.
Komplikace léčby
Riziko vzniku poruchy srdečního vedení při aplikaci krátkodobého octreotidu v rychlé i.v. inekci (symptomatická bradykar-die, av-blok vyššího stupně). Je nutno proto podávat analog pomalu či v kontinuální i.v. infuzi a monitorovat EKG.
Soubor pacientů
V centru pro neuroendokrinní nádory IV. interní kliniky VFN Praha bylo v letech 1999-2010 sledováno 108 pacientů s neuroendokrinními nádory. Z toho 56 případů NET bylo generalizovaných. Paliativně léčeno 44 nemocných s metastazujícími NET.
V průběhu tohoto období došlo u 4 pacientů (9,1 %) k výskytu karcinoidové krize (KK). V žádném případě nebyla zjištěna vyvolávající příčina. Všichni tito pacienti byli před vznikem KK průběžně léčeni buď dlouhodobým octreotidem (3 pacienti) a 1 pacient lanreotidem (plicní karcinoid). V průběhu karcinoidové krize byl aplikován krátkodobý octreotid v kontinuální infu-zí, se suportivní léčbou, rehydratací a korekcí vnitřního prostředí. Všichni 4 pacienti KK přežili.
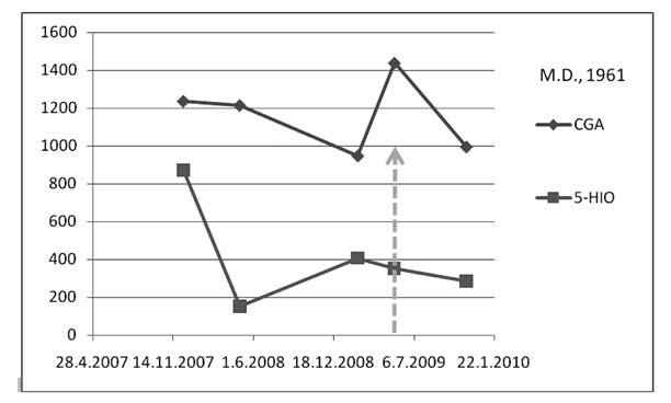
- M.D.,muž 1963, atypický generalizovaný karcinoid plic. 2.5.2009
- světlý flush otok, obličeje, horečka, průjmy, bolesti břicha. (KK
počátek září 2009). V době KK elevace CgA, nikoli 5-HIO, která
obecně u plicních NET bývá jen lehce či středně zvýšená.

- D.F., žena 1962, NET tenkého střeva s metastázami do jater.
Hospitalizována dvakrát pro KK, v období od 16.6.2008 a od
20.4.2009 - hypotenze, kolaps, rozmazané vidění, zhoršení průjmů,
zesílení flushe. Graf dobře ukazuje dva vzestupy 5-HIO a méně
konstantně zvýšení chromograninu A v souvislosti s oběma epizodami
KK.

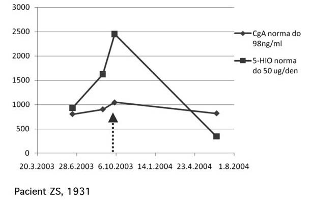
- Z.S., žena 1931, karcinoid ilea s metastázami do jater. Od 1.9.2003 hospitalizace pro kolaps, dehydrataci, zhoršení jater-ních funkcí. Významná elevace 5-HIO v době KK.
J.S., muž 1946, karcinoid neznámého primárního origa, metastázy do
jater, klinicky průjem, flush, výrazné zhoršení od VIII 2000, kdy
průjmy 10 x denně, sklony k hypotenzi, hubnutí. Významná elevace
hodnot 5-HIO v době KK.

Závěr
Karcinoidová krize (KK) je vzácnější, život ohrožující komplikace
neuroendokrinních nádorů. Je vyvolána vyplavením některých
biologicky aktivních substancí. Vyvolávajícím podnětem může být
mechanická manipulace s nádorem (operace, biopsie) anebo určité
chemické vlivy (anestézie). Některé případy KK vznikají spontánně.
Závažným konstantním fenoménem je těžká hypotenze, nezřídka
generalizovaný bronchospasmus. V prevenci KK je důležitá příprava
krátkodobými analogy (octreotid), pro léčbu se rovněž používá
analog spolu s energickou volumoresuscitací a další suportivní
péčí. Katecholaminy jsou kontraindikovány. Práce prezentuje
zkušenosti se 4 pacienty s KK, ukazuje biochemické profily 5-HIO a
chromograninu A v době kolem krize. U všech pacientů byla léčba
efektivní.
Datum přednesení příspěvku: 22. 4. 2010
