Konference: 2009 XXXIII. Brněnské onkologické dny a XXIII. Konference pro sestry a laboranty
Kategorie: Genitourinární nádory
Téma: XXIII. Karcinom prostaty
Číslo abstraktu: 197
Autoři: MUDr. Otakar Čapoun; prof. MUDr. Marek Babjuk, CSc.; Prof. Jan Dvořáček, DrSc.; prof. MUDr. Tomáš Hanuš, DrSc.; As. MUDr. Libor Šafařík, CSc., FEBU; MUDr. Ivan Pavlík, MBA; MUDr. Emil Votoček
Cílem naší práce je validizace předoperačního nomogramu Memorial Sloan-Kettering Cancer Center (MSKCC) pro odhad patologické klasifikace karcinomu prostaty po radikální prostatektomii u pacientů v České republice.
Materiál a metodika
V období 01/2000-03/2008 podstoupilo 584 mužů radikální prostatektomii pro klinicky lokalizovaný karcinom prostaty. Věk, bioptické Gleasonovo skóre (GS), hladina prostatického specifického antigenu (PSA) a klinická klasifikace dle per rektum vyšetření byly známy předoperačně. V definitivním preparátu jsme hodnotili patologickou klasifikaci, GS, stav chirurgických okrajů a pozitivitu lymfatických uzlin po bilaterální pánevní lymfadenektomii, kterou jsme provedli u všech pacientů s hladinou PSA vyšší než 10 ng/ml (n=209). Předoperační charakteristiky souboru jsou shrnuty v tabulce č.l. Na základě předoperačních parametrů byla použitím nomogramu MSKCC stanovena pravděpodobná patologická klasifikace a odhad byl porovnán s pooperačním nálezem. Prediktivní hodnota nomogramu byla zpracována metodou Receiver Operating Characteristics a pro jednotlivé patologické klasifikace byly spočítány hodnoty Area Under Curve (AUC). Dále byla zvlášť stanovena prediktivní hodnota nomogramu u pacientů operovaných v období 2000-2005 a u pacientů po radikální prostatektomii od roku 2006 s ohledem na změny hodnocení GS na základě doporučení konference ISUP 2005. Ke statistické analýze byl použit software CRAN 2.4.0.
Výsledky
Průměrný věk pacientů byl 62 let (44-79),
průměrná hladina PSA 9,59 ng/ml (1,58-36,11), klinicky jako Tlc
bylo klasifikováno 68% pacientů. U 85% bioptických vzorků bylo
zaznamenáno bioptické GS nižší než sedm. Patologicky lokalizovaný
karcinom byl nalezen u 73% a pozitivní chirurgické okraje u 17%
preparátů. Patologické GS bylo hodnoceno jako nižší než sedm v 76%
nálezech. Souhrn pooperačních charakteristik je uveden v tabulce
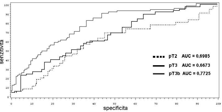
č.2. Kalkulovaná hodnota AUC pro pT2 onemocnění byla 0,6985, pro
pT3 0,6673 a pro samostatnou klasifikaci pT3b 0,7725 (obrázek č.l).
Nebyl shledán statisticky významný rozdíl v přesnosti nomogramu
mezi skupinou pacientů diagnostikovaných na naší klinice a pacienty
odeslaných z jiných pracovišť. Pro pacienty operované v období
2006-2008 byl v predikci patologické klasifikace přesnější současný
model: AUC 0,7174 vs. 0,6613 pro pT2, AUC 0,7852 vs. 0,7372 pro
pT3, AUC 0,8532 vs. 0,7919 pro pT3b.

Závěr
Na našem pracovišti užíváme nomogram MSKCC
k odhadu pooperační charakteristiky od roku 2006, aplikace je volně
dostupná na internetových stránkách centra - www.mskcc.org. Naše
analýza ukazuje, že MSKCC nomogram má dostatečnou prediktivní
hodnotu pro patologickou klasifikaci karcinomu prostaty a může být
se srovnatelnou přesností užíván i pro českou populaci.
Práce byla podpořena VZMSM
0021620808.
Datum přednesení příspěvku: 17. 4. 2009
