Obsah:
- Proč tato choroba vzniká? Je dědičná? Existující rizikové faktory pro její vznik? Lze ji předejít?
- Příznaky mnohočetného myelomu
- Prevence, screening
- Vyšetření, která vedou ke stanovení diagnózy mnohočetného myelomu
- Komplexní léčba mnohočetného myelomu
- Prognóza a důležitost včasného stanovení diagnózy
Mnohočetný myelom je původní popisný nález, který patologové v devatenáctém století přiřadili pro pitevní nález kostí, postižených četnými osteolytickými ložisky. Tito patologové zjistili, že se nejedná o metastázy nějakého karcinomu, ale že se jedná o nádory vyrůstající či vznikající z buněk kostní dřeně. Zvažovali, jak by tento nádor popsali. Podle názvosloví nádorů, které zavedl Wirchow, se název nádoru tvoří z latinského názvu tkáně, orgánu či normálních buněk, z nichž nádor vznikl a k tomuto názvu se přidá koncovka -om. Takže pro nádor, vycházející z tukových buněk, se používá název lipom, pro nádor z vazivových buněk (fibrocytů), fibrom. Pro nádor z kostní dřeně, která se latinsky nazývá myelé, koncovkou -om vytvořili název myelom. A protože byl mnohočetný, přidali k němu latinské přídavné jméno multiple, a tak vznikl popisný termín multiple myeloma, který se překládá v některých oblastech ČR jako mnohotný myelom a v jiných jako mnohočetný myelom. Ve Slovenštině se pro tuto nemoc používá výraz mnohopočetný myelóm.
Další, pravidelně aktualizované, informace pro pacienty najdete na: www.myeloma.cz
Staří patologové zdůrazňovali následující charakteristiku této nemoci:
- samovolné zlomeniny v ložiscích odvápnění,
- výrazné zmenšování postavy při kompresi kostí (všechny šaty byly najednou dlouhé),
- kruté bolesti, znemožňující hybnost.
Teprve později byly popsány jednotlivé typy buněk kostní dřeně a bylo zjištěno, že tyto nádory jsou tvořeny buňkami, které jsou podobné normálním plazmatických buňkám neboli plazmocytům. Přidáním koncovky -om vznikl název plazmocytom.
Mnohočetný myelom je zařazován WHO klasifikací do skupiny maligních chorob vycházejících z lymfocytární tkáně, do skupiny agresivních lymfomů.
Pro nespecializovaného lékaře je nutné si zapamatovat, že tato nemoc je dobře léčitelná. Léčebné programy, zahrnující vysokodávkovanou chemoterapii s autologní transplantací, dosahují 10-letého přežití u 20 % nemocných.
Přechod z klasické chemoterapie na vysokodávkovanou chemoterapii v devadesátých letech minulého stolení byl první významný posun vedoucí ke zlepšování léčebných výsledků. Dalším posunem v léčbě – který byl započat v tomto stolení, je postupné vstupování nových léků do léčebných protokolů. V posledních letech pro léčbu používají speciální monoklonální protilátky, cílené na struktury, které jsou velmi významně přítomné v myelomových buňkách. Každým rokem nyní přibývají nové a nové léky, takže volba co zvolit konkrétního pacienta se stává obtížnější a obtížnější
Léky dostupné v roce 2022 ilustruje tabulka 1
Tabulka 1
Léky používané pro léčbu monohočetného myelomu.
|
Glukokortikoidy |
Cytostatika |
Inhibitory proteazomu |
IMIDs |
Protilátky |
Jiné |
Zatím jen ve studiích |
|
Dexametazon Prednison Metylprednisolon |
Cyklofosfamid Bendamustin Melfalan Etoposid BCNU Melflufen |
Bortezomib Carfilzomib Ixazomib |
Thalidomid lenalidomid pomalidomid |
Daratumumab Elotuzumab Belantamab mafodotin Isatuximab |
Panobinostat Venetoclax Selinexor |
Bispecifické protilátky CAR-T buňky |
Takže nihilismus, který občas přežívá ještě u některých starších lékařů, je zcela, ale opravdu zcela neoprávněný.
Proč tato choroba vzniká? Je dědičná? Existující rizikové faktory pro její vznik? Lze ji předejít?
Na tyto otázky neumíme přesně odpovědět. Princip vzniku této maligní nemoci je stejný jako u všech jiných, změna v genetické informaci buňky, tedy něco jako porucha programu počítače, k níž může dojít jak vlivem zvenčí (přepětí sítě, počítačový virus) tak porucha z vnitřních důvodů.
Lze pouze říci, že pro mnohočetný myelom lze analýzou předchozího života nemocných zjistit určité rizikové faktory, které jsou většinou společné pro všechny krevní nemoci. Na otázku jak předejít této chorobě neznáme odpověď. Ani minimalizací rizikových zevních vlivů nemůžeme zabránit jejímu vzniku.
Dědičnost této nemoci nebyla prokázána.
Příznaky mnohočetného myelomu
Mnohočetný myelom se může hlásit velmi pestrými příznaky,
Nejčastěji jsou to bolesti páteře, proto dále zmíníme možnosti diferenciální diagnostiky bolestí páteře. Prvním projevem mohou být i bolesti a patologické fraktury dlouhých kostí. Nemoc je zprvu vázána na kostní dřeň. V průběhu nemoci vznikají v myelomových buňkách genetické změny, které jim umožní nádorový růst i mimo kostní dřeň. Nemoc začne pronikat do měkkých tkání. Pokud začne nemoc vyrůstat z obratlového těla do páteřního kanálu, poškodí tak míchu a míšní nervy. U pacienta s pokročilou nemocí můžeme vidět i měkkotkáňové infiltráty kdekoliv na těle.
Příznaky z poškození organismu monoklonálním imunoglobulinem
Různé typy nefropatií, někdy s nutností dialýzy, neuropatie, trombocytopatie, koagulopatie a další.
Příznaky z utlačení fyziologické krvetvorby myelomovou infiltrací a z produkce patologických cytokinů myelomovými buňkami
Anémie, cytopenie, zvýšené teplota, váhový úbytek, svědění kůže, únava.
Příznaky z potlačení tvorby fyziologických imunoglobulinů
Časté infekce, nereagující na antibiotika. Vše ilustruje schéma 1.
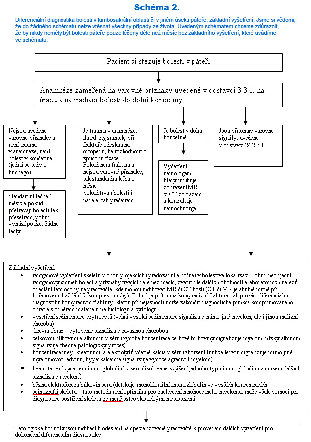
Z didaktického hlediska považujeme nyní za vhodné ilustrovat příznaky přímo slovy, jak je nemocní popisují lékaři a přidat k těmto slovům stručný komentář.Vzhledem k tomu, že z výše uvedeného odborného výčtu si nemusí nezdravotník představit, jak se taková nemoc ohlašuje, uvedeme typické příklady z praxe, přímo pomocí citací slov nemocných, což by mělo sloužit k lepšímu zapamatování. Pro stanovení diagnózy mnohočetného myelomu je nejdůležitější správné rozpoznání příčiny bolestí v zádech, tak jak je uvádí schéma 2.
Příznaky způsobené poškozením kostí
Paní doktorko, již měsíc mě bolí v zádech, bolesti se postupně horší, mám bolesti v bederní páteři, dokonce mám i klidové bolesti v noci.
To může být první signál, že již nemoc začala. Bolesti v zádech jsou nejčastějším prvním příznakem myelomu.
Bolesti v páteři má občas každý člověk starší 30 let. Je těžké tedy rozpoznat, zda bolesti jsou způsobeny běžnými deformacemi nebo zda je to již signál myelomu nebo metastáz ve skeletu. Běžné bolesti v páteři se často do měsíce zmírní. Pokud se nezmírní či dokonce zhorší, je to signálem k dalšímu vyšetření, a to jak laboratornímu, tak rentgenovému.
Jsou-li rentgenové známky kompresivní zlomeniny obratle a není známý úrazový děj, je nezbytné určit stáří a příčinu dalšími vyšetřovacími metodami. Lékař by nikdy neměl ponechat kompresivní frakturu obratle beze snahy o objasnění příčiny a bez vyloučení jiných příčin by ji také nikdy neměl nazývat osteoporotickou.
Při klidových a nočních bolestech by praktický lékař neměl váhat s podrobnějším vyšetřením, neboť tyto bolesti mohou být příznakem závažného postižení nádorem nebo zánětem (spondylodiscitida, osteomyelitida). Základem jsou snímky v předozadní a boční projekci. Odlišit uvedené typy postižení je možné dalšími zobrazovacími a laboratorními metodami. Nádorová kostní bolest se typicky vyvíjí dle schématu 3.
Pro lékaře prvního kontaktu je obtížné v počátku rozpoznat, zda jde o bolesti způsobené deformativními změnami anebo mnohočetným myelomem.
Proto by měl lékař vždy položit více doplňujících otázek.
- Jak se vyvíjí intenzita bolesti v čase? Pokud se jedná o bolest způsobenou maligní chorobou, tak se bolesti budou časem zhoršovat.
- Kde Vás to bolí, ukažte! Deformativní změny způsobují bolesti nejčastěji v bederní a krční páteři. Naproti tomu bolest v hrudní páteři není častá a nově vzniklá bolest v hrudní páteři vyžaduje zjištění příčiny.
- Při čem Vás to nejvíce bolí? Nenechte se mýlit, že pro nádorové bolesti je typické noční maximum. Právě naopak, u mnohočetného myelomu je bolest způsobená mikrofrakturami trámčiny kostí, případně frakturou, a proto se bolest zvyšuje při zátěži, kdy dochází k další deformaci oslabené kosti.
- Mnohočetný myelom však může postihnout kteroukoliv kost v těle. Takže vlastně každý pacient přichází s určitým, pro něj typickým obrazem nemoci.
A pokud je lékař v rozpacích jak interpretovat informaci o bolesti, tak vždy pomůže odběr krve a její laboratorní vyšetření. A pokud lékař zjistí, že bolesti v kostech jsou provázené anémií, anebo vyšší hodnotou celkové bílkoviny a poklesem albuminu, tak získá důvod k podrobnějšímu pátrání po souvislostech a to může vyústit v diagnózu mnohočetného myelomu.
Pane doktore, mám velké bolesti v páteři a nyní došlo ke změně. Nemůžu zakašlat, nemůžu zatlačit na stolici a nemůžu kýchnout, neboť jakmile to udělám, tak mi projede prudká bolest z páteře do nohy.
Pacient nám těmito slovy říká, že již došlo ke stlačení nervových kořenů. Jakmile zatlačí na stolici, nebo zakašle či udělá jiný manévr, zvyšující žilní tlak, objevuje se prudká bolest vystřelující do nohy, nebo do jiné oblasti, kam vedou nervy z uskřinutého nervového kořene. Nervové kořeny mohla přitom stlačit jak nádorová tkáň myelomu či jiného nádoru, nebo vyhřezlá ploténka. Jakmile si pacient postěžuje na bolesti zesilující při manévru, který zvyšuje žilní tlak, je to ihned signálem k neurologickému vyšetření s cílem popsat, o který nervový kořen se jedná a následně provést cílené CT nebo MR zobrazení. Rentgenové snímky v tomto případě obvykle moc nepomohou, ale měly by být vždy prvním zobrazovacím vyšetřením.
Pane doktore, před měsícem jsem vrtal příklepovou vrtačkou do betonu, vrtačka se mi vysmekla z ruky a uhodila mě do hrudníku. Zjistili, že mám zlomené žebro, to se podle kontrolního snímku zahojilo a bolesti na hrudníku a dokonce v páteři mám pořád. Snímek páteře i hrudníku mi dělali a nic špatného na něm nebylo vidět. Čím to je?
Ošetřující lékař sleduje tohoto muže delší dobu s monoklonální gamapatií. A protože ví, že i když v biochemii nedošlo k vzestupu koncentrace monoklonálního imunoglobulinu a v kostní dřeni je stejný nález jako před rokem, nelze přece nikdy vyloučit, že nemoc přešla z benigního onemocnění v maligní chorobu. A kde získá další informaci, když ví, že na rentgenu nebyl žádný projev přechodu benigní monoklonální gamapatie v mnohočetný myelom? Přece od kamarádů z CT a MR.
Teprve po 30-60% úbytku kostní hmoty je osteolytické ložisko zobrazitelné na nativním rentgenovém snímku. Rozdíly v procentech kostní hmoty, která musí vymizet, aby bylo ložisko zřetelné, jsou dány lokalizací a typem kosti. Ostatní skelet bývá počátkem choroby postižen mnohem méně často. Ale také se stává, že první bolesti nejsou vnímány v páteři, ale že bolí žebra nebo dlouhé kosti. Uvedu opět pár příkladů.
Pane doktore, od minulého týdne mě bolí pravé lýtko a noha je oteklá. Lékařka sáhne pacientce na nohu a zjistí, že není bolestivé lýtko zezadu, jako bývá při hluboké žilní trombóze, ale že je bolestivá kost a je i zduřelá.
Rentgenový snímek této kosti zjistil velké ložisko, které později prasklo. V tomto případě byla provedena operace až při první známce fraktury, správně se však mají nosné kosti s velkými ložisky vyztužit operační vnitřní fixací ještě před frakturou. Jakmile narušení nosné kosti začne ohrožovat její nosnost, má se provést vnitřní fixace, zpevnění.
Pane doktore, já jsem zakašlal a prasklo ve mě, jako by se mi zlomilo žebro.
Lékař tomu nechtěl věřit, myslel si, že manželka bacila svého muže, ale pro jistotu jej poslal na rentgen. A opravdu, bylo tam zlomené žebro. Pak doktor doporučil tomuto nešťastníkovi, aby méně kašlal, neudělal další vyšetření. A tak se stalo, že na pravou příčinu této příhody se přišlo až po 3/4 roku, když již bylo žebro zavzato do větší nádorové masy. Žebra vám přece při kašli běžně nepraskají, nebo ano?
Tento příklad nám říká, že jakákoliv fraktura, která vznikne bez přiměřeného násilí, vyžaduje provedení diferenciální diagnostiky.
Osteoporóza jako první příznak mnohočetného myelomu.
Někdy se mnohočetný myelom projeví difúzní osteoporózou. Osteoporóza neboli řídnutí kostí, je jev, kterým nejčastěji trpí ženy po menopauze, ale má i další příčiny. Mimo jiné může být jednou z příčin osteoporózy mnohočetný myelom. Jedna naše pacientka chodila od roku 2008 do osteocentra, kde metodou DEXA zjistili prořídnutí kostí neboli osteoporózu. Dostávala klasickou léčbu pro osteoporózu po mnoho let. Až nakonec v září 2017 byl zjištěn mnohočetný myelom s velmi četnými patologickými frakturami obratlů. Proto u každé osteoporózy je vhodné provést vyšetření, která mohou rozpoznat mnohočetný myelom. Mnohočetný myelom je jednou z nečastých příčin osteoporózy.
Příznaky způsobené poškozením míchy a míšních nervů
Paní doktorko, minulý týden mi vypadl hrníček kávy z ruky a teď již prsty nic neuchopím, říkal pán s propagací myelomových hmot z krčních obratlů do páteřního kanálu a kompresí míšních nervů, prokázanou na MR vyšetření.
Pane doktore, obtížně chodím, vrávorám, kdybych se nedíval, kam šlapu, tak bych upadl, říká pán s propagací do kanálu v oblasti bederní páteře s porušenou propriocepcí (vnímání polohy končetin). Jedině díky optické kontrole byl schopen správně koordinovat motorické nervy dolních končetin.
Paní doktorko, nemohu se vyčurat a mám potíže s udržením či vypuzením stolice i moče, stěžovala si paní s kompresí v oblasti 5. bederního obratle, která měla zároveň sedlovitou poruchu citlivosti, typickou pro syndrom koňského ohonu (kaudy equiny) a typickými problémy z poruchy inervace svěračů.
Pane doktore, ochrnuly mi nohy, nemohu chodit postěžoval si 35-letý inženýr. Byl poslán na neurologii, tam se ošetřující neurolog netrefil v typizaci místa poruchy, cílené CT na špatně označené segmenty páteře nezachytilo myelomové hmoty a tak byla diagnóza uzavřena jako cévní postižení míchy, obdoba cévní mozkové příhody. MR bylo zvažováno, ale vzhledem k endoprotéze z magnetického kovu jej místní MR lékař neprovedl. Magnetický kov v těle představuje sice určitá rizika, o tom není pochyby, ale tato rizika jsou relativní, ne absolutní, vždy se musí zvážit, zda více poškodí nemocného vyšetření anebo naopak jeho neprovedení.
Riziko MR v případě endoprotézy je v jejím zahřátí a riziku uvolnění, které se zmenšuje s časovým intervalem od operace. Nepoznání myelomového infiltrátu včas v tomto případě vedlo k neléčení a předání pacienta se spekulativní falešnou diagnózou do léčebny dlouhodobě nemocných.
Když se po měsíci na pravou příčinu přišlo, měl mladý muž tolik dekubitů, čili ložisek infekce, že již agresivní chemoterapie nebyla možná a mimoto se propásla možnost okamžitého řešení míšní komprese v době, kdy ještě poškození nervů bylo částečně reverzibilní. V tomto případě by provedení MR a přínos z časné diagnózy převážilo riziko zahřátí a uvolnění endoprotézy.
Operační dekomprese má význam do 24 hodin od nástupu těžké parézy – plegie. Jedině tak má nemocný naději na zlepšení nervových funkcí. Nutná je urgentní dekomprese s nebo bez primární stabilizace (vnitřní fixace) na spondylochirurgickém pracovišti. Podmínkou operačního léčení je dobrý celkový stav a pravděpodobnost přežití delší než tři měsíce.
Paní doktorko, prudce se mi zhoršily bolesti v bederní páteři a pánvi, nemohu pro chodit bolesti
Na rentgenovém snímku nebyla progrese osteolýzy, sternální punkce neprokázala zvýšení počtu plazmocytů, monoklonální imunoglobulin měl stejnou koncentraci jako před půl rokem. Simulant nebo progrese? MR prokázalo infiltraci spinálního kanálu od 8. hrudního po 5. bederní obratel.
Pane doktore, objevily se mi bolesti v krční páteři, které jsem dříve neměla, a mám dojem, že se postupně zhoršují“, řekla paní v průběhu léčby. Ten den byl proveden snímek skeletu, který byl zcela normální a následující den provedená scintigrafie skeletu prokázala aktivitu jen v periferních kloubech, související s artrózou, ale vůbec žádnou aktivitu v krční páteři. Za týden po rentgenovém vyšetření přivezl paní manžel, neboť přestala pro slabost chodit a zcela ji ochrnula levé paže. Neurolog konstatoval kvadruparézu a plegii levé ruky, akutní CT prokázalo expanzi v páteřním kanálu v oblasti druhého krčního obratle, a ten den ještě v noci byla provedena operace krční páteře.
Uvedené příklady dokladují, že normální rentgenový nález nevylučuje závažné poškození páteře a patologii v páteřním kanálu jako příčinu bolestí a potíží nemocného. Pokud víme, že má nemocný monoklonální gamapatii nebo mnohočetný myelom a bolesti kostí nevysvětlí rentgenový snímek, je žádoucí provést cílené CT či MR zobrazení dříve, než vznikne nevratné poškození člověka.
Příznaky mnohočetného myelomu způsobené poškozením ledvin
Paní doktorko, já mám oteklé nohy jako slon, čím to je?
Myelom poškozuje kosti a může také poškozovat ledviny. Monoklonální imunoglobulin může poškodit ledviny různým způsobem. U některých způsobuje zvýšený odpad bílkoviny, který může být tak závažný, že díky nedostatku bílkovin otékají nohy, nemocný má velmi nízký tlak a cítí se velmi špatně. Říká se tomu nefrotický syndrom.
Pokud tedy přijde k praktické lékařce někdo s obrovskými otoky nohou, obvykle se provádí vyšetření krve i moče a také srdce, protože nejčastěji je to důsledkem pravostranné srdeční slabosti s retencí tekutin.
Nález nízké koncentrace bílkoviny v krvi a vysoké koncentrace bílkoviny v moči svědčí pro zvýšenou propustnost pro bílkoviny, nefrotický syndrom. Příčinou bývá nejčastěji poškození ledvin diabetem ale i glomerulonefritidou, nesmí se však zapomenout na mnohočetný myelom. Není jednoduché histologicky v biopsii ledviny rozlišit nefrotický syndrom, způsobený glomerulonefritidou anebo monoklonální gamapatií, proto u každého nefrotického syndromu by se mělo pátrat po přítomnosti monoklonálního imunoglobulinu a při jeho nálezu zvažovat souvislosti.
Pane doktore, já jsem na tom špatně, čurám čím dále tím méně.
V jiném případě může poškození ledvin monoklonálním gamaglobulinem vést ke zhoršení funkce ledviny v tom smyslu, že přestanou vylučovat odpadní látky a člověk se dostane do situace, kdy potřebuje umělou ledvinu. Je monoklonální gamapatie častou příčinou selhání ledvin? Ne jistě není, glomerulonefritidy či cukrovka jsou jistě častější příčinnou. Proto také monoklonální gamapatie není často včas rozpoznávána jako příčina selhání ledvin.
Kam až může zajít takové nerozpoznání příčiny zvýšeného odpadu bílkoviny? Opět budu ilustrovat příkladem. U mladého muže byla nalezena v moči bílkovina a byl nalezen monoklonální imunoglobulin. A tak byl mladý muž byl poslán na hematologii k vyšetření monoklonálního imunoglobulinu a k nefrologovi k vyšetření bílkoviny v moči.
V průběhu let se funkce ledvin horšily, zatímco parametry hematologické zůstávaly stabilní. A tak se stalo, že nefrolog dal mladého muže na čekací list na transplantaci ledviny, zatímco hematolog považoval stav stále za neškodnou benigní gamapatii, ale mýlil se. A jednou v noci se objevila ledvina vhodná právě pro tohoto mladého muže. Lékaři mu ji ještě v noci našili, ale s funkcí nebyly spokojeni, ledvina během několika dní ztratila funkci. A protože kolega, pečující po interní stránce o transplantované, věděl, že monoklonální gamaglobulin je nevypočitatelný a zákeřný nepřítel, poslal k nám pacienta na kontrolu. Při přešetření jsme zjistili, že dříve benigní gamapatie přešla v symptomatický mnohočetný myelom a ten zničil transplantovanou ledvinu. V tomto případě šlo tedy o myelomovou ledvinu, a nová, transplantovaná ledvina se v průběhu několika dní také ucpala monoklonálním imunoglobulinem.
Bílkovina v moči bez nebo s retencí dusíkatých látek může být také důsledkem myelomu. Poškození ledvin monoklonálním imunoglobulinem má více forem. Vyhraněnou formou je tvorba bílkovinných válců v tubulech ledvin s následnou oligurií a anurií. Tento vývoj se akceleruje při dehydrataci. Další častou formou poškození ledviny monoklonálním imunoglobulinem je nefrotický syndrom či izolované tubulární poruchy.
Mnohočetný myelom u některých našich pacientů nezpůsoboval odbourávání kostí, ale jenom poškozoval ledviny. Problém je v tom, že my lidé neumíme vnímat, že se nám horší funkce ledvin. Informaci o funkci ledvin přináší hodnota zvaná „kreatinin“, čím vyšší, tím horší funkce ledvin. My lidé však zvyšující se hodnotu kreatininu a dalších odpadních látek zpočátku nevnímáme. Potíže typu slabosti, zvracení a nevolnosti se dostaví, až koncentrace dusíkatých látek přestoupí určitou kritickou hranici a objeví se příznaky „uremického syndromu“. Ale to již stav, kdy je nutná akutní dialýza.
Závažné selhání ledvin s uremickým syndromem má jako příčinu často záněty ledvin anebo poškození ledvin diabetem. Mnohočetný myelom je příčinou selhání ledvin jen v několika procentech. Ale pokud lékař, který ošetřuje pacienta se selháním ledvin, nevyšetří koncentraci volných lehkých řetězců, tak na to, že příčinou selhání ledvin je krevní onemocnění, nemusí přijít.
Proto u všech pacientů se selháním ledvin nejasné příčiny by se na vyšetření volných lehkých řetězců a monoklonálního imunoglobulinu nemělo zapomínat!
Příznaky z poškozené imunity a nedostatečné funkce kostní dřeně a vliv monoklonálního imunoglobulinu na koagulaci
Takže poškození kostí a ledvin, anebo ještě něco může signalizovat tuto nemoc?
Ano, třetím signálem přítomnosti této nemoci je oslabená imunita. Pravda, pacientů, kteří přijdou za lékařem se stížností: „paní doktorko, já jsem pořád nemocný a dříve jsem tak často nebýval, ale jinak mě nic nebolí“ je podstatně méně. Ale i takové případy máme.
Například dříve zdravý mladý muž byl jedno jaro třikráte po sobě přijat se zápalem plic na plicní oddělení nemocnice na Buchtově kopci. Paní doktorce v plicní léčebně to bylo podezřelé, a protože byla opravdu medicinae universae doktorkou, čili doktoru celé medicíny, tak ihned udělala diferenciální diagnostiku a diagnostikovala tuto nemoc. Paní doktorka musela mít excelentní znalosti ze školy.
Porucha imunity je typickým projevem nemoci. Zpočátku dominuje porucha B-buněčné, později se začne projevovat i porucha T-buněčné imunity. Defekt B-buněčné imunity způsobuje omezenou produkci funkčních imunoglobulinů. Jejich deficit se s progresí nemoci postupně prohlubuje. Pacienti s mnohočetným myelomem mají tedy snížené koncentrace fyziologických polyklonálních imunoglobulinů a jejich schopnost tvořit odpovídající imunoglobulin po antigenní stimulaci je omezená. Pokud vznikne pásový opar, musíme na něj pohlížet jako na signál deficitu či zhoršení T-buněčné imunity a tedy signalizaci recidivy nemoci či vzniku maligní nemoci.
Ohlašujícím signálem může být také únava při chudokrevnosti, případně krvácení při malém počtu krevních destiček či poruše srážení krve způsobené monoklonální gamapatií.
Anémie, trombocytopenie a leukopenie s odpovídajícími klinickými příznaky mohou být rovněž projevem mnohočetného myelomu a nemusí být vždy provázeny osteolýzou. Jsou způsobeny nejen mechanickým útlakem nádorovou tkání, ale i vlivem řady působků cytokinové sítě.
Vliv monoklonálního imunoglobulinu na koagulaci
I nespecializovaný lékař by měl vědět, že monoklonální imunoglobulin může zasáhnout do hemostázy, nejčastěji formou trombocytopatie, o níž ho běžná předoperační koagulační vyšetření (INR, APTT, fibrinogen) neinformují, takže chce-li mít informaci o funkci destiček musí požádat o vyšetření agregace trombocytů. Vysoká koncentrace monoklonálního Ig vytváří syndrom hyperviskozity.
Příznaky shodné s maligními lymfomy (příznaky vyvolané cytokiny maligních buněk)
Protože mnohočetný myelom patří do skupiny maligních lymfomů, mohou být některé příznaky shodné či podobné, jako ty, s nimiž přicházejí za praktickou lékařkou či lékařem osoby, u nichž vznikl maligní lymfom. Tyto příznaky se v medicínské terminologii označují názvem B příznaky, patřím k nim následující stížnosti:
Paní doktorko, já mám pořád chřipku (anebo se mi vrací pořád chřipka), snědl jsem všechny antibiotika, které jsem po babičce v domácí lékárničce našel a nic mi to nepomáhá, zvýšené teploty bez třesavky mám již nejméně dva měsíce.
Typickým příznakem maligních lymfomů i mnohočetného myelomu mohou být zvýšené teploty nad 37°C nebo přímo horečky, nad 38°C, které jsou trvalé či kolísavé. Přicházející osoby často hledající viníka v opakujícím se virovém onemocnění, které však nikdo nikdy neprokázal, protože původcem zvýšené teploty je nádor sám. Obvyklá viróza do 14 dní odezní, proto definice teploty nejasného původu obsahuje v sobě časové hledisko – teplota trvající déle než tři týdny bez průkazu infekčního původu. Pokud pacient přichází s tímto údajem, je to důvod k zahájení postupného vyšetřování.
Doporučujeme najít si v odborné literatuře článek na téma „Diagnostika horečky nejasného původu“ nebo anglicky text na téma „Fever of unknown origin“, který obsahuje návod k rozpoznání příčiny a dle toho postupovat.
Pane doktore, já v poslední době hubnu. Již dlouho jsem chtěl zhubnout a nešlo to, pak se to konečně začalo dařit a teď to nemohu zastavit a přitom jím porce jako dříve.
Mnozí pacienti s krevní chorobou uvádějí, že jedí stejné porce jako dříve nebo dokonce více a přitom hubnou. Na rozdíl od karcinomu jícnu či žaludku, kde bývá hubnutí spojeno se snížením příjmem, při maligních krevních chorobách nemusí být snížen příjem jídla, a přesto se hubne.
Další příznaky společné s maligními lymfomy
Zcela výjimečně mohou krevní choroby způsobit svědění kůže, aniž by na kůži bylo cokoliv špatného vidět.
Další příznaky
A to jsou již konečně všechny možné příznaky, které tuto nemoc ohlašují?
Ne, nejsou. Například jeden pan profesor vystoupil u nemocnice z auta a popadla ho velká dušnost. A tak se dobelhal za kamarádem do nemocnice, kde ten den zjistili plicní embolii. A co bylo příčinou? Hyperkoagulační stav navozený myelomem, jinak neměl vůbec žádné zdravotní potíže. To je však méně frekventní příčina, ale těchto méně častých příčin bychom mohli najít více.
Monoklonální imunoglobulin nejčastěji způsobuje neuropatii, ta je nepříjemná, ale neohrožuje život. Poměrně často rušivě zasahuje do funkce destiček, méně často do koagulační kaskády. Může poškozovat nejen ledviny, ale i oči svými depozity či hyperviskozitou. Ve výčtu bychom mohli pokračovat dále, ale ztratila by se přehlednost textu a tak zjednodušíme konstatováním že výjimečně může způsobit cokoliv.
V roce 2018 byl pracovníky Mayo Clinic vytvořen termín „Monoklonální gamapatie klinického významu“ a v roce 2020 se tato nová jednotka objevila v edukační knize vydávané u příležitosti sjezdu Americké hematologické společnosti. Je to zastřešující termín pro všechny známé typy poškození, způsobené monoklonálním imunoglobulinem. Jejich průkaz znamená indikaci k léčbě, který by měla potlačit tvorbu monoklonálního imunoglobulinu. Jejich přehled i obrázky těchto chorob je uvedeno v supplementu B časopisu Onkologie, které vyšlo na podzim roku 2022. Jde relativně o nově definovanou skupinu nemocí, které vyžadují léčbu.
Prevence, screening
Vyhýbat se rizikovým faktorům, uvedeným výše a žít zdravě, tak jak se žít má, včetně sportování až do konce života, je rámcové doporučení, jak snížit riziko, více udělat nelze. Nelze zabránit, aby tato nemoc vznikla.
Screening není na tuto nemoc zaměřen, nicméně pokud člověk chodí ke svému lékaři na pravidelnou preventivní prohlídku a lékař při ni mimo definovaných screeningových vyšetření zkontroluje krevní obraz, sedimentaci, základní biochemické vyšetření, tak může ze změn v těchto hodnotách pojmout podezření na vznik této nemoci.
- Sedimentace krve – je typicky u myelomu zvýšená
- Kalcium v krvi – může být z myelomu zvýšené
- Urea a kreatinin, hodnoty charakterizující funkci ledvin mohou být mimo normu při myelomu
- Celková bílkovina může být zvýšená nad normu
- Albumin může být snížen pod normu
- Fibrinogen může být zvýšen v rámci hyperkoagulačního stavu, provázející obecně maligní nemoci.
Pokud má člověk bolesti v zádech, měl by lékař postupovat dle schématu č. 2.
Vyšetření, která vedou ke stanovení diagnózy mnohočetného myelomu
To, že se jedná o mnohočetný myelom, je možné zjistit po shrnutí informací o struktuře kostí, složení kostní dřeně a přítomnosti monoklonálního imunoglobulinu.
Průkaz monoklonálního imunoglobulinu v moči a v krvi, kvantitativní stanovení polyklonálních gamaglobulinů
Prvním kritériem je přítomnost a koncentrace monoklonálního imunoglobulinu a snížení ostatních, normálních, čili polyklonálních imunoglobulinů. Metoda kvantitativního stanovení monoklonálního imunoglobulinu v sobě zahrnuje určité subjektivní prvky, takže je důležité, aby se koncentrace monoklonálního imunoglobulinu stanovovala vždy ve stejné laboratoři a byla tak jasná jeho dynamika v čase.
Průkaz klonálních volných lehkých řetězců imunoglobulinů kappa a lambda
A vyšetření těchto volných lehkých řetězců by mělo být provedeno u každého nejasného poškození funkce ledvin.
Kvantitativní stanovení počtu plazmocytů v kostní dřeni
V případě vysoké infiltrace může být dostačující aspirace ze sterna a hodnocení cytologického nátěru. Pokud však počet plazmocytů získaných ze sternální punkce nesplňuje ani malé kritérium, a existuje podezření na myelom, tak je nutno provést trepanobiopsii a histologické vyšetření válečku kostní dřeně na pracovišti, kde mají zavedenu metodu kvantitativního hodnocení počtu plazmocytů. Počet plazmocytů v histologickém preparátu v naprosté většině případů výrazně převyšuje počet zjištěný v aspirátu (myelogramu), proto mnohdy výsledek prosté aspirace zařadí pacienta do kategorie monoklonální gamapatie nejistého významu, zatímco histologie kostní dřeně s kvantitativním stanovením počtu plazmocytů jej zařadí do kategorie mnohočetného myelomu.
Co však v případě, kdy je prokázána osteoporóza, monoklonální gamapatie, komprese jednoho obratle či jedno lytické ložisko a trepanobiopsie neprokázala dostatečný počet plazmocytů pro potvrzení diagnózy mnohočetného myelomu? Považovat situaci za kombinaci benigní gamapatie a osteoporózy s kompresivní frakturou? V tomto hraničním případě je indikována cílená biopsie obratle, či jiného osteolytického ložiska, prováděná na operačním sále či rentgenologem pod CT kontrolou.
Situaci ilustrujeme jedním příkladem z praxe u paní s monoklonální gamapatií a bolestmi v páteři s jedním komprimovaným obratlem: sternální punkce 3-5 % plazmocytů, tedy mírně zvýšený počet, v následné trepanobiospii 9-12 % monoklonálních plazmocytů, hraniční počet, v cílené biopsii komprimovaného obratle 30-40% plazmocytů, takže jednoznačný průkaz nemoci.
Při trepanobiopsii lze zároveň odebrat vzorky na cytogenetické vyšetření, kde má u této diagnózy prognostickou výpověď, zatím však neovlivňuje volbu léčebného postupu.
Třetí kritérium je průkaz narušení kosti myelomem
Lépe než na rentgenových snímcích vidíme díry v kostní struktuře, vytvořené myelomem, zobrazením kosti na CT snímcích.
Nejcitlivější pro infiltrace kosti maligní chorobou je magnetická rezonance (MR). Jedině ta umí zobrazit patologické infiltráty v kostech.
Máme-li podezření, že někomu nemoc „nahlodává“ kost, i když na rentgenu není nic vidět, musíme jej tedy poslat na magnetickou rezonanci.
Více informací o zmíněných vyšetřovacích metodách se můžete dočíst na internetových stánkách www.mou.cz/Pro pacienty/. Vyšetřovací metody a léčba a souhrn všech vyšetřovacích metod u mnohočetného myelomu můžete najít na internetové adrese www.myeloma.cz/Mnohočetný myelom/ na podadrese Základní údaje.
Komplexní léčba mnohočetného myelomu
Cílem komplexní léčby mnohočetného myelomu je jednak ničení patologických buněk a jednak řešení komplikací, které jsou důsledkem nemoci. Cílem protinádorové léčby je dosažení remise nemoci. Pak se léčba přeruší, pacient je sledován a léčba se obnovuje opět při vzplanutí nemoci. Postup léčby přibližuje schéma 4 a schéma 5.
Protinádorová léčba
K redukci četnosti myelomové populace se používá cytostatiká léčba v monoterapii či v kombinaci a u nemocných do 65 let je zakončená vysokodávkovanou chemoterapií s autologní transplantací. V roce 2014 byly registrovány tři necytostatické preparáty, které mají protimyelomový účinek, thalidomid, bortezomib a lenalidomid.
V roce 2016 byl kategorizován a začalo standardní používání léku jménem pomalidomid.
V brzku lze očekávat vstup dalších léků do léčby mnohočetného myelomu (například Carfilzomib). Klinické studie potvrdily také účinnost monoklonálních protilátek namířených proti antigenům plazmatických buněk (například daratumumab).
Prostě každoročně se dostávají do rutinního použití nové a nové léky. V roce 2018 jistě bude spektrum léků širší než je v roce 2017 a co bude k dispozici v roce 2020 si v roce 2017 neumíme ani představit.
Nicméně i v roce 2020 bude platit, že prognóza pacienta s včas zjištěnou chorobou bude příznivější než prognóza pacienta s pozdě rozpoznanou a pokročilou chorobou. A proto je důležité, aby o nemoci věděli všichni lékaři a pokud se setkají s příznaky této nemoci, tak včas naplánovali odpovídající vyšetření a pak předali pacienta specialistům.
Mnohočetný myelom nelze ve většině případů vyléčit, cílem je dosažení kompletní remise nemoci a pak sledování pacienta. V případě, že nemoc relabuje, obnovuje se léčba s cílem dosažení druhé či další remise. Při použití klasické chemoterapie žije 10 % nemocných déle jak 10 let, při použití vysokodávkované chemoterapie je to až 20 %. Podrobněji tuto léčbu ilustruje schéma 5.
Kontroly po ukončení léčby
Vzhledem k tomu, že aktivita nemoci se obvykle po určitém čase obnovuje, jsou nemocní po ukončení léčby pravidelně zváni na kontroly, jejichž cílem je včas rozpoznat recidivu nemoci a zareagovat na ni odpovídající léčbou.
Standardně se kontroluje krevní obraz, standardní biochemické hodnoty a hlavně koncentrace monoklonálního imunoglobulinu. Při obnovení bolestí se provádí kontrolní rentgenovém či nákladnější zobrazovací vyšetření, MR, CT, PET.
V roce 2014 se do popředí dostává celotělové low dose CT vyšetření, které mnohem citlivěji odhaluje nová kostní ložiska ve srovnání s klasickým rentgenovým snímkováním, jak o tom referoval doktor Jiří Minařík a další autoři z Olomouce. A v roce 2022 již standardně používám spřažená vyšetření pomocí fluorodeoxyglukózy (FDG) zvané FDG-PET/CT či FDG-PET/MR. Dle akumulace FDG glukózy v ložisko lze usuzovat na to, zda maligní buňky v ložisku byly vyhubené a jde o mrtvé, neaktivní ložisko, nebo zda buňky jsou stále živé, aktivní a vyžadují tedy léčby. Tato vyšetření výrazně zlepšila informovanost o aktivitě či neaktivitě nemoci.
Při podezření na recidivu se opakovaně vyšetřuje také kostní dřeň. Laboratorní kontroly se provádění obvykle v 1-2 měsíčních intervalech. V případě, že se prokáže obnovená aktivita nemoci, která dělá nemocnému, nastává čas k obnovení protinádorové léčby.
Podpůrná léčba
Cílem podpůrné léčby je zmírňovat utrpení, které sebou přináší jak choroba, tak i její léčba.
Podávání bisfosfonátů (zoledronat, pamidronat, ibandronat)
Tyto léky zpomalují odbourávání kosti a mírní bolest. Představují něco podobného, jako ochranka u banky. Je důležité mít funkční ochranku v době, kdy je v bance hodně peněz a již menší prospěch přinese ochranka v době, kdy je banka zpoloviny vykradená a zbytečnou se ochranka stává v době, kdy zloději odnášejí poslední korunu z trezoru.
Proto bisfosfonáty, ochranku proti mizení hydroxyapatitu z kostí, je nutno začít podávat ihned po stanovení diagnózy, kdy je v kostech ještě dosti vápníku a nečekat s jejich podáním na dobu, kdy již nemoc způsobila výrazné odvápnění. Při užívání dusík obsahujících bisfosfonátů byla poprvé v roce 2003 popsána osteonekróza čelisti (nehojící se rána po extrakci zubu s následnou osteonekrózu okolí), proto je třeba dodržovat doporučení lékaře, který bisfosfonáty naordinoval, zvláště se s ním poradit o každém zákroku v dutině ústní.
Pozdní nežádoucí účinky bisfosfonátů (osteonekróza čelisti a případně atypické fraktury) vedly k přehodnocení délky jejich podávání. Jejich podávání je v roce 2022 limitována na dobu, kdy je nemoc aktivní. Pokud se podaří dosáhnout kompletní remise mnohočetného myelomu, tak by se podávání bisfosfonátů mělo po roce od ukončení léčby a od dosažení kompletní remise ukončit.
Dříve neexistovalo přesné doporučení pro situaci, kdy by se mělo podávání bisfosfonátů ukončit, proto se podávaly obvykle od zjištění nemoci trvale. V případě, že stomatochirurg navrhne četné extrakce před podáním bisfosfonátů, tak je nutné zvážit, zda není pro pacienta výhodnější tyto bisfosfonáty nepodávat, protože bez zubů se špatně jí a obstarat si vhodnou protézu je časově a finančně nákladné. Proto je někdy pro pacienta vhodnější bisfosfonáty nepodávat a ponechat jeho chrup bez stomatochirurgického zákroku.
Léčba bolesti
Rozrušování kosti chorobou velmi bolí a tomu musí odpovídat léčba bolesti. Bolesti u mnohočetného myelomu mají charakter somatických bolestí, proto se zde používá kombinace analgetik ze skupiny blokátorů cyklooxygenázy (paralen, diklofenak, ibuprofen, koxtral) spolu s léky ze skupiny opioidů (tramadol, morfin (Sevredol a retardované formy například MST continus), buprenorfin (Transtec), fentanyl (Durogesic) a jiné.
Pro lékaře předepisujícího tyto léky je důležité, aby počítal s nežádoucím účinkem nesteroidních analgetik na ledviny a žaludek a dále, aby si byl vědom, že morfin se při selhání ledvin kumuluje, o něco méně se kumuluje i Oxycontin a Palladone, zatímco fentanyl (Durogesic) a buprenorfin (Transtec) se může podávat bez ohledu na funkci ledvin. Zásadní informací, kterou nesmí zapomenout je to, že zatímco nesteroidní antiflogistika mají svůj stropový efekt, (horní limit pro dávku), který se nemá překračovat, tak opioidní analgetika nemají stropový efekt a při chronickém dlouhodobém dávkování neexistuje numerický horní limit dávky. Pro zvyšování dávky opioidních analgetik platí, že je vždy možné, pokud vyšší dávka nezpůsobuje závažné nežádoucí účinky. Maximální dávka opioidních léků, uvedená v příbalovém letáku, platí pro akutní podání, ne pro dlouhodobé podávání. Maximální dávka opioidních analgetik je limitována nežádoucími účinky a ne číselným údajem, což je rozdíl od neopioidních analgetik. V roce 2014 se do praxe dostala novinka preparát TARGIN, který má při dobrém analgetickém účinku dělat menší zácpu než má samotný oxycodon.
Bolest však lze léčit i zářením, které nejenom, že ničí myelomové buňky v ozařovaném místě, ale také má vlastní analgetický efekt, který se dostavuje často až po ukončení záření. Podrobnosti o vzniku bolesti a o léčbě jednotlivých typů bolesti včetně informací o lécích na tlumení bolesti jsou uvedeny v knize Nádorová kostní choroba, Grada 2005
Operační léčba patologických fraktur
Každou patologickou frakturu obratle musí posoudit ortoped. Každá fraktura dlouhé kosti se obvykle léčí vnitřní fixací a ne fixací zevní, jak je obvyklé u běžné fraktury, proto každý lékař ošetřující nemocné s myelomem by měl mít navázaný kontakt na operační oddělení, kde provádějí vnitřní fixace. Podrobnosti o léčbě patologických fraktur páteře i dlouhých kostí uvádí uvádějí ortopedové v knize Nádorová kostní choroba, Grada 2005.
Léčba infekcí
Mnohočetný myelom a jeho léčba výrazně tlumí obranu proti infekcím. Léčba infekcí, které komplikují tuto nemoc, je proto naprosto nutná. Na tomto místě chceme pouze připomenout, že infekce u oslabeného člověka má svoje specifika. Může se projevit pouze teplotou a závažnost této infekce se obvykle shoduje s mírou narušení vyšší nervové činnosti, aniž by se objevily příznaky orgánového poškození. Podrobnosti o léčbě infekcí osob s oslabenu imunitou maligní chorobou lze najít v druhém vydání knihy Diagnostické a léčebné postupy u maligních chorob, Grada 2004.
Podrobnější informace o způsobech léčby se můžete dozvědět na internetových stánkách www.myeloma.cz/Mnohočetný myelom/Léčba nebo v brožurách, popisujících jednotlivé léčebné postupy, které jsou k dispozici ve specializovaných centrech nebo také na internetové stánce www.myeloma.cz/Informace pro nemocné/Informační brožury.
Prognóza a důležitost včasného stanovení diagnózy
Vysokodávkovaná chemoterapie s autologní transplantací prodloužila medián přežití na 5 let, přičemž kolem 20 % pacientů žije déle než 10 let. Klasická chemoterapie měla medián přežití 3-4 roky a kolem 10% nemocných žilo déle než 10 let. Nové léky zásadně prodloužily nejen délku remise, ale i celkové přežití, takže v roce 2017 se odhaduje, že déle než 10 let žije 30 % léčených.
Zásadní pro kvalitu života nemocných s myelomem je, aby se nemoc začala léčit dříve, než způsobí těžké a nenapravitelné poškození skeletu, nebo dokonce poškození nervových struktur, anebo zda se na diagnózu přijde až v době mnohočetných patologických fraktur nebo paraparézy. Včasná diagnostika je dominantně v rukou praktických lékařů, proto záleží na nich, zda u pacientů s výše uvedenými potížemi vždy zváží maligní původ těchto problémů.
Pokud praktický lékař má podezření na maligní původ potíží, neměl by váhat poslat pacienta na nejbližší specializované pracoviště.
Nejpřehlednější informace o této nemoci je možné získat na internetových stánkách České myelomové skupiny (www.myeloma.cz), která sdružuje odborníky v této oblasti. Kromě informací pro odbornou veřejnost, je zde vyhrazena část speciálně určená pro nemocné, včetně Slovníčku pojmů, takže i nemocný, který ještě nezná běžně používané odborné výrazy, bude textu dobře rozumět. Další užitečné informace a možnosti aktivně se zapojit najdete na stránkách Klubu pacientů s mnohočetným myelomem (www.mnohocetnymyelom.cz).
Písemná literatura
Nejvíce informací lze získat z Doporučení pro diagnostiku a léčbu mnohočetného myelomu, které vydává Česká myelomová skupina v relativně krátkých časových intervalech v časopise Transfuze a Hematologie, viz její internetové stránky myeloma.cz
Podrobný popis příznaků projevů mnohočetnému myelomu a dalších monoklonálních gamapatií uvádíme v publikaci, v níž jsou i četné obrazy chorobných stavů.
Adam Z, Pour L, Zeman D. Monoklonální gamapatie. Onkologie Solen, 2022, Suplementum B, s.1-110.
Přehled všech chorob provázených zvýšenou koncentrací celkové bílkoviny a tedy imunoglobulinů uvádíme v publikaci: Adam Z, Pour L, Zeman D. Vzácné choroby provázené hypergamaglobulinémií. 1 vydání Praha, Grada 2022, 336 s.
Přehled psychických problémů, které vyvstanou při maligním onemocnění, uvádí kniha. Adam Z, Klimeš J, Pour L,et al. Maligní onemocnění, psychika a stres. Praha, Grada 2019, 2013 s.
